π Free GWA Calculator
Calculate β’ Save β’ Download your General Weighted Average instantly
| Subject | Grade | Units | |
|---|---|---|---|
GWA Calculator:
Today, we are here with a great, useful, and smart working kind of digital platform called Free GWA Calculator for the Philippines’ universities and colleges. It is a smart working system that provides the students’ overall academic results and performance easily. So, if you want to make your experience smooth and easier, you have to get the GWA on your device. There are different kinds of useful factors, and items are included that you can use without facing any kind of issues or harmful factors. No need to worry about the accessibility sections; these are also simple and smooth to access.

What is the GWA (General Weighted Average)?
To be real, the GWA Calculator is a newly launched useful kind of factors that you can use in multiple kinds of universities and colleges to check the overall academic result of the student. It will work perfectly and offer you accurate details that you can use to know about every student. Moreover, it offers you the total course and subject within the time that you are given to your students. So, you can easily convert the weight into units and numbers by using the gwa calculation formula, and make your work easier. Read the overall content to get a lot of useful details and tips.
How Does the Free GWA Calculator Works?
The developer has designed the GWA Calculator with simple and smooth kind of factors that allow you to easily access the application without facing issues and errors. In addition, our team has added a step-by-step guide for the users on how the tool works. Read the steps given below.
How does it work? Step-by-Step Guide:
Input your Data:
In this section, you have to add the student data for each course or unit. Like, math: 1.50 grade 5 units; Science: 2.25 grade 3 units;
Calculated Weighted points:
- Now, the calculator multiplies your grades by the unit for each subject.
- Examples: Math; 1.50 X 5= 7.50; Science2.25 X 3 = 6.75.
Sum Products:
- This useful section will add all the results of step 2.
- Example; 7.50+ 6.75+β¦… = 17.25(total weighted points).
Sum Units:
- Know, it will add the credit number of the above subjects.
- Example: 5+3+β¦. = 11 (total units).
- Divide to Find the GWA:
- Here, you have to divide the total weighted points by the total units to find the GWA.
- Example: 17.25/11 = 1.568 β 1.57.
Screenshots Final GWA calculator:
GWA Grading Interpretation (Sad vs Appreciated):
The GWA Calculator for Students is the perfect measurement section that provides the basic and multiple kinds of useful results for your students. Know, it means that you can often use the tool without spending your money or being affected by the harmful factors. Here, the platform will also give the details of the students with low and high GPAs. Friendly interface menu and highly recommended factors will make it more attractive and smart to access. Get the subject’s overall units and weight easily by using the factor.
Low GWA (Below 2.0):
When you find the below, then 2.0 results in your measurement section. Then it is considered the weakest and useless student. So, you have to give him proper coaching and train him very well to become it professional and strong.
Average GWA (2.0 _ 3.0):
The average score is also not for being top-rated or successful for the internship or other hours. It is considered that the student is in the process and tries to make their skill strong among others. So, you also need to give home some extra courses and better subject classes.
High GWA (Above 3.0):
Now we can openly say that the student is perfect and strong in their academic years, and successfully qualify for all the internship programs, and are rewarded. This is the highest stage that makes them all productive and professional among the others.
Why Use Our online Gwa Calculator free?
There are several kinds of useful factors, and a premium kind of characters are added in the Gwa Calculator with Units for the players to enjoy. These are added with full details. Have a look. Furthermore you can also convert GWA to percentage just for free.
Free of Cost:
When you start accessing the calculator on your mobile device or initially download it. Then you do not need to invest money or spend cash to unlock the premium kind of sources. It is totally free of cost to access on the device and enjoy easily.
No Need to Register:
Some of the users are unlike to access the tools, because of the registration and sign-up issues. But, to be sure, here you do not need to add any kind of personal details. You can easily start enjoying the tool after selecting your desired section.
Mobile Friendly Interface:
Some of the apps do not support several kinds of mobile phones. For this purpose, our team has added the GWA Calculator University. That lets you enjoy the mobile-friendly interface menu and boost your skills and experience easily.
Instant Results:
Can you believe that the platform has set the fast and smooth kind of working factors? That provides your instant result, and never lets you feel bothered and stuck while playing it on your gaming device. Enjoy the ever-smooth and secure kind of factors on your mobile device.
Accurate Result:
Our free tool will give you 100% accurate result in just few seconds. There will be no error show in the tool if you calculate your GWA score manually you will get the same answer.
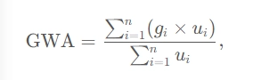
Formula for GWA Calculation:
To calculate your GWA our tool is simply uses the given formula which is given below with details. By using the formula you can calculate your GWA on your notebook.

- GWA β General Weighted Average;
- n β Total number of courses considered in the calculation.
- ui β Units or credits of each course;
- i β Index of summation (ranging from i=1, i=2 up to i=n);
- gi β Grade of each course or subject;
Difference Between GWA and GPA:

The student is using both the measurement platforms to know about their academic career performance and grades. Additionally, we have added the useful details that will make these two factors different from each other.
GWA (General Weighted Average):
It is a commonly used factor in the Philippines’ universities, colleges, and schools. Because it helps all the students, teachers to easily find their subject weight in the unit and numbers smoothly. Surely, it will calculate all your subjects easily without any issues or factors.
GPA (Great Point Average):
Indeed, it is also the same measurement tool that is popular in the United States and Canada. Here, the users can easily access the section to calculate their GPA on a scale from 0.0 to 4.0. But, in this tool, the result will also show on the A, B, C, D, and F letters of the students. Also, if you want to convert GPA to GWA, or Convert GWA to GPA then you can also do it in just a few clicks.
Who Can Use This Free GWA Calculator NU?
The developer has designed the GWA Calculator Philippines with unique and smart kinds of useful factors. Thatβs multiple kinds of users can easily access and enjoy the platform on their gaming devices. Moreover, it is also friendly and smooth, which will never show you harmful factors or issues to face on multiple resources.
- College students can able to use the GWA Calculator College Students to find their subject and academic year performance in units and numbers.
- University student can also get the chance to enjoy the great, useful tool, to keep an eye on their performance always.
- Scholarship players can use the tool to check whether they are eligible for the scholarship or not.
- Teacher have the best opportunities to simply utilize the factor to know about their students’ overall performance in all subjects.
Tips to Improve Your GWA:
Our team has set useful and assisting kind of tips and tricks for the players. You can easily access it on your device to become a successful and strong student among others.
- Try to focus on the major subjects that give you a great GWA and improve your position among other students.
- You have to study regularly and give your full attention to the studies only.
- Attend every class consistently without being absent.
- Identify the weakness that has never let you become a strong and skillful student.
- Note down the important lessons and other points in your books to easily remind you.
- Set the timetable that you can follow daily.
- Take care of your health also, and take some time to sleep.
FAQs?
Conclusion:
Eventually, we are here with a player’s desire useful tool that can easily be accessed to check their overall academic performance results. You do not need to worry about the safety and security sections. These are bound with smooth and strong setup sections. So, instantly get the student GWA Calculator with Grades and Units to know the performance of every subject easily. Friendly and simple to access on your gaming device, and offering your reliable setting to enjoy. This calculator is useful for all students, teachers, and other scholarship recipients to utilize.




